| title | Visualize SQL Server data using R (SQL and R deep dive) | Microsoft Docs |
|---|---|
| ms.prod | sql |
| ms.technology | machine-learning |
| ms.date | 04/15/2018 |
| ms.topic | tutorial |
| author | HeidiSteen |
| ms.author | heidist |
| manager | cgronlun |
[!INCLUDEappliesto-ss-xxxx-xxxx-xxx-md-winonly]
This article is part of the Data Science Deep Dive tutorial, on how to use RevoScaleR with SQL Server.
The enhanced packages in [!INCLUDErsql_productname] include multiple functions that have been optimized for scalability and parallel processing. Typically these functions are prefixed with rx or Rx.
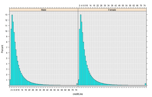
For this walkthrough, you use the rxHistogram function to view the distribution of values in the creditLine column by gender.
-
Use the following R code to call the rxHistogram function and pass a formula and data source. You can run this locally at first, to see the expected results, and how long it takes.
rxHistogram(~creditLine|gender, data = sqlFraudDS, histType = "Percent")
Internally, rxHistogram calls the rxCube function, which is included in the RevoScaleR package. rxCube outputs a single list (or data frame) containing one column for each variable specified in the formula, plus a counts column.
-
Now, set the compute context to the remote SQL Server computer and run rxHistogram again.
rxSetComputeContext(sqlCompute) -
The results are exactly the same, since you're using the same data source; however, the computations are performed on the [!INCLUDEssNoVersion] computer. The results are then returned to your local workstation for plotting.
-
You can also call the rxCube function and pass the results to an R plotting function. For example, the following example uses rxCube to compute the mean of fraudRisk for every combination of numTrans and numIntlTrans:
cube1 <- rxCube(fraudRisk~F(numTrans):F(numIntlTrans), data = sqlFraudDS)
To specify the groups used to compute group means, use the
F()notation. In this example,F(numTrans):F(numIntlTrans)indicates that the integers in the variables_numTransandnumIntlTransshould be treated as categorical variables, with a level for each integer value.Because the low and high levels were already added to the data source
sqlFraudDS(using thecolInfoparameter), the levels are automatically used in the histogram. -
The default return value of rxCube is an rxCube object, which represents a cross-tabulation. However, you can use the rxResultsDF function to convert the results into a data frame that can easily be used in one of R’s standard plotting functions.
cubePlot <- rxResultsDF(cube1)
The rxCube function includes an optional argument, returnDataFrame = TRUE, that you could use to convert the results to a data frame directly. For example:
print(rxCube(fraudRisk~F(numTrans):F(numIntlTrans), data = sqlFraudDS, returnDataFrame = TRUE))However, the output of rxResultsDF is much cleaner and preserves the names of the source columns.
-
Finally, run the following code to create a heat map using the
levelplotfunction from the lattice package, which is included with all R distributions.levelplot(fraudRisk~numTrans*numIntlTrans, data = cubePlot)
Results
From even this quick analysis, you can see that the risk of fraud increases with both the number of transactions and the number of international transactions.
For more information about the rxCube function and crosstabs in general, see Data summaries using RevoScaleR.

