| title | Tutorial: Build a clustering model in Python |
|---|---|
| description | In part three of this four-part tutorial series, you'll build a K-Means model to perform clustering in Python with SQL Server Machine Learning Services. |
| ms.prod | sql |
| ms.technology | machine-learning |
| ms.devlang | python |
| ms.date | 08/27/2019 |
| ms.topic | tutorial |
| author | garyericson |
| ms.author | garye |
| ms.reviewer | davidph |
| monikerRange | >=sql-server-ver15||=sqlallproducts-allversions |
In part three of this four-part tutorial series, you'll build a K-Means model in Python to perform clustering. In the next part of this series, you'll deploy this model in a SQL database with SQL Server Machine Learning Services.
In this article, you'll learn how to:
[!div class="checklist"]
- Define the number of clusters for a K-Means algorithm
- Perform clustering
- Analyze the results
In part one, you installed the prerequisites and imported the sample database.
In part two, you learned how to prepare the data from a SQL database to perform clustering.
In part four, you'll learn how to create a stored procedure in a SQL database that can perform clustering in Python based on new data.
- Part three of this tutorial assumes you have fulfilled the prerequisites of part one, and completed the steps in part two.
To cluster your customer data, you'll use the K-Means clustering algorithm, one of the simplest and most well-known ways of grouping data. You can read more about K-Means in A complete guide to K-means clustering algorithm.
The algorithm accepts two inputs: The data itself, and a predefined number "k" representing the number of clusters to generate. The output is k clusters with the input data partitioned among the clusters.
The goal of K-means is to group the items into k clusters such that all items in same cluster are as similar to each other, and as different from items in other clusters, as possible.
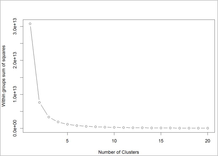
To determine the number of clusters for the algorithm to use, use a plot of the within groups sum of squares, by number of clusters extracted. The appropriate number of clusters to use is at the bend or "elbow" of the plot.
################################################################################################
## Determine number of clusters using the Elbow method
################################################################################################
cdata = customer_data
K = range(1, 20)
KM = (sk_cluster.KMeans(n_clusters=k).fit(cdata) for k in K)
centroids = (k.cluster_centers_ for k in KM)
D_k = (sci_distance.cdist(cdata, cent, 'euclidean') for cent in centroids)
dist = (np.min(D, axis=1) for D in D_k)
avgWithinSS = [sum(d) / cdata.shape[0] for d in dist]
plt.plot(K, avgWithinSS, 'b*-')
plt.grid(True)
plt.xlabel('Number of clusters')
plt.ylabel('Average within-cluster sum of squares')
plt.title('Elbow for KMeans clustering')
plt.show()Based on the graph, it looks like k = 4 would be a good value to try. That k value will group the customers into four clusters.
In the following Python script, you'll use the KMeans function from the sklearn package.
################################################################################################
## Perform clustering using Kmeans
################################################################################################
# It looks like k=4 is a good number to use based on the elbow graph.
n_clusters = 4
means_cluster = sk_cluster.KMeans(n_clusters=n_clusters, random_state=111)
columns = ["orderRatio", "itemsRatio", "monetaryRatio", "frequency"]
est = means_cluster.fit(customer_data[columns])
clusters = est.labels_
customer_data['cluster'] = clusters
# Print some data about the clusters:
# For each cluster, count the members.
for c in range(n_clusters):
cluster_members=customer_data[customer_data['cluster'] == c][:]
print('Cluster{}(n={}):'.format(c, len(cluster_members)))
print('-'* 17)
# Print mean values per cluster.
print(customer_data.groupby(['cluster']).mean())
perform_clustering()Now that you've performed clustering using K-Means, the next step is to analyze the result and see if you can find any actionable information.
Look at the clustering mean values and cluster sizes printed from the previous script.
Cluster0(n=31675):
-------------------
Cluster1(n=4989):
-------------------
Cluster2(n=1):
-------------------
Cluster3(n=671):
-------------------
customer orderRatio itemsRatio monetaryRatio frequency
cluster
0 50854.809882 0.000000 0.000000 0.000000 0.000000
1 51332.535779 0.721604 0.453365 0.307721 1.097815
2 57044.000000 1.000000 2.000000 108.719154 1.000000
3 48516.023845 0.136277 0.078346 0.044497 4.271237
The four cluster means are given using the variables defined in part one:
- orderRatio = return order ratio (total number of orders partially or fully returned versus the total number of orders)
- itemsRatio = return item ratio (total number of items returned versus the number of items purchased)
- monetaryRatio = return amount ratio (total monetary amount of items returned versus the amount purchased)
- frequency = return frequency
Data mining using K-Means often requires further analysis of the results, and further steps to better understand each cluster, but it can provide some good leads. Here are a couple ways you could interpret these results:
- Cluster 0 (the largest cluster) seems to be a group of customers that are not active (all values are zero).
- Cluster 3 seems to be a group that stands out in terms of return behavior.
Cluster 0 is a set of customers who are clearly not active. Perhaps you can target marketing efforts towards this group to trigger an interest for purchases. In the next step, you'll query the database for the email addresses of customers in cluster 0, so that you can send a marketing email to them.
If you're not going to continue with this tutorial, delete the tpcxbb_1gb database from your Azure SQL Database server.
In part three of this tutorial series, you completed these steps:
- Define the number of clusters for a K-Means algorithm
- Perform clustering
- Analyze the results
To deploy the machine learning model you've created, follow part four of this tutorial series:
[!div class="nextstepaction"] Tutorial: Deploy a clustering model in Python with SQL Server Machine Learning Services
