| title | Tutorial: Build a clustering model in Python |
|---|---|
| description | In part two of this three-part tutorial series, you'll build a K-Means model to perform clustering in Python with SQL Server Machine Learning Services. |
| ms.prod | sql |
| ms.technology | machine-learning |
| ms.devlang | python |
| ms.date | 08/23/2019 |
| ms.topic | tutorial |
| author | garyericson |
| ms.author | garye |
| ms.reviewer | davidph |
| monikerRange | >=sql-server-ver15||=sqlallproducts-allversions |
In part two of this three-part tutorial series, you'll build a K-Means model in Python to perform clustering. In the next part of this series, you'll deploy this model in a SQL database with SQL Server Machine Learning Services.
In this article, you'll learn how to:
[!div class="checklist"]
- Define the number of clusters for a K-Means algorithm
- Perform clustering
- Analyze the results
In part one, you learned how to prepare the data from a SQL database to perform clustering.
In part three, you'll learn how to create a stored procedure in a SQL database that can perform clustering in Python based on new data.
- Part two of this tutorial assumes you have completed part one and its prerequisites.
To cluster your customer data, you'll use the K-Means clustering algorithm, one of the simplest and most well-known ways of grouping data. You can read more about K-Means in A complete guide to K-means clustering algorithm.
The algorithm accepts two inputs: The data itself, and a predefined number "k" representing the number of clusters to generate. The output is k clusters with the input data partitioned among the clusters.
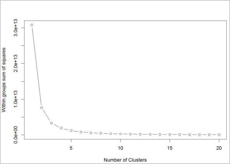
To determine the number of clusters for the algorithm to use, use a plot of the within groups sum of squares, by number of clusters extracted. The appropriate number of clusters to use is at the bend or "elbow" of the plot.
# Determine number of clusters by using a plot of the within groups sum of squares,
# by number of clusters extracted.
wss <- (nrow(customer_data) - 1) * sum(apply(customer_data, 2, var))
for (i in 2:20)
wss[i] <- sum(kmeans(customer_data, centers = i)$withinss)
plot(1:20, wss, type = "b", xlab = "Number of Clusters", ylab = "Within groups sum of squares")Based on the graph, it looks like k = 4 would be a good value to try. That k value will group the customers into four clusters.
In the following R script, you'll use the function rxKmeans, which is the K-Means function in the RevoScaleR package.
# Output table to hold the customer group mappings.
# This is a table where the cluster mappings will be saved in the database.
return_cluster = RxSqlServerData(table = "return_cluster", connectionString = connStr);
# Set the seed for the random number generator for predictability
set.seed(10);
# Generate clusters using rxKmeans and output key / cluster to a table in SQL database
# called return_cluster
clust <- rxKmeans( ~ orderRatio + itemsRatio + monetaryRatio + frequency,
customer_returns,
numClusters=4,
outFile=return_cluster,
outColName="cluster",
extraVarsToWrite=c("customer"),
overwrite=TRUE);
# Read the customer returns cluster table from the database
customer_cluster <- rxDataStep(return_cluster);Now that you've done the clustering using K-Means, the next step is to analyze the result and see if you can find any actionable information.
The clust object contains the results from the K-Means clustering.
#Look at the clustering details to analyze results
clustCall:
rxKmeans(formula = ~orderRatio + itemsRatio + monetaryRatio +
frequency, data = customer_returns, outFile = return_cluster,
outColName = "cluster", extraVarsToWrite = c("customer"),
overwrite = TRUE, numClusters = 4)
Data: customer_returns
Number of valid observations: 37336
Number of missing observations: 0
Clustering algorithm:
K-means clustering with 4 clusters of sizes 31675, 671, 2851, 2139
Cluster means:
orderRatio itemsRatio monetaryRatio frequency
1 0.000000000 0.0000000000 0.00000000 0.000000
2 0.007451565 0.0000000000 0.04449653 4.271237
3 1.008067345 0.2707821817 0.49515232 1.031568
4 0.000000000 0.0004675082 0.10858272 1.186068
Within cluster sum of squares by cluster:
1 2 3 4
0.0000 1329.0160 18561.3157 363.2188
The four cluster means are given using the variables defined in part one:
- orderRatio = return order ratio (total number of orders partially or fully returned versus the total number of orders)
- itemsRatio = return item ratio (total number of items returned versus the number of items purchased)
- monetaryRatio = return amount ratio (total monetary amount of items returned versus the amount purchased)
- frequency = return frequency
Data mining using K-Means often requires further analysis of the results, and further steps to better understand each cluster, but it can provide some good leads. Here are a couple ways you could interpret these results:
- Cluster 1 (the largest cluster) seems to be a group of customers that are not active (all values are zero).
- Cluster 3 seems to be a group that stands out in terms of return behavior.
If you're not going to continue with this tutorial, delete the tpcxbb_1gb database from your Azure SQL Database server.
From the Azure portal, follow these steps:
- From the left-hand menu in the Azure portal, select All resources or SQL databases.
- In the Filter by name... field, enter tpcxbb_1gb, and select your subscription.
- Select your tpcxbb_1gb database.
- On the Overview page, select Delete.
In part two of this tutorial series, you completed these steps:
- Define the number of clusters for a K-Means algorithm
- Perform clustering
- Analyze the results
To deploy the machine learning model you've created, follow part three of this tutorial series:
[!div class="nextstepaction"] Tutorial: Deploy a clustering model in Python with SQL Server Machine Learning Services
